面试题19. 正则表达式匹配【困难】
题目描述
做题链接:面试题19. 正则表达式匹配【困难】
设计一个函数用来实现正则表达式
解题思路
本题的 【Hard】模式,正是因为考虑的情形比较多,很容易一些小细节漏做。尽管整理的时候已经是二次刷题了,但是还是花了 1H
调试+重写才成功
方法一: 正查递归
考虑到的情况
- ab <--> ab
- ab <--> .*
- ab* 的时候,b 零次的信息很容易漏掉
- 终止条件:
if not p: return not a
- 判断相等逻辑:
p[0] in {s[i], '.'}
方法二: 倒查递归
- 正则串是 正常字符串匹配/. s[:n-2] p[:m-2]
- 正则串带 * a. 先直接去除 c* s,p[:m-2] b. 如果匹配*前的字符串, s[:n-1] p
- 正常字符串 不匹配 直接返回False
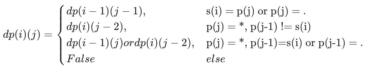
方法三:动态规划
作者:z1m

$$ dp(i)(j) = \ \left{ \begin{array}{l} \begin{matrix} dp(i - 1)(j - 1) ,& s(i)= p(j) \ or \ p(j) = .\ \end{matrix} \
\begin{matrix} dp(i - 1)(j - 2) ,& p(j) = * \ , \ p(j-1) != s(i)\ \end{matrix} \
\begin{matrix} dp(i - 1)(j) \ or \ dp(i)(j -2),& p(j) = * \ , \ p(j - 1) = s(i) \ or \ p(j - 1) = . \ \end{matrix} \
\begin{matrix} False ,& else \end{matrix} \
\end{array} \right. $$
代码
方法一:递归(Ugly)
class Solution:
def isMatch(self, s: str, p: str) -> bool:
if not p: return not s
# ab <--> a* 带星号的一定要先处理,不然在 s='' p='*b'的时候会出错
if len(p) > 1 and p[1] == '*':
if self.isMatch(s, p[2:]): return True # 零次情况考虑到
i = 0
while i < len(s) and p[0] in {s[i], '.'}: # aaab a*b
if self.isMatch(s[i+1:], p[2:]): return True
i += 1
if p and s and p[0] in {s[0], '.'}: # ab <--> ab
return self.isMatch(s[1:], p[1:])
return False
方法一:递归(Graceful)
于此,我们又发现可以改进的地方
while i < len(s) and p[0] in {s[i], '.'}: # aaab a*b
if self.isMatch(s[i+1:], p[2:]): return True
可以列一张表,看到这里的 while
循环是不必要的,因为递归程序会帮我们一次次最终走到 * 三次
的情况,不需要我们自己显式的去写出,而且就算写出了,程序也走不到。
s | p | value | |
---|---|---|---|
原始 | aaab | a*b | True |
* 零次 | aaab | b | False |
* 一次 | aab | b | False--> * 二次 |
* 二次 | ab | b | False-->* 三次 |
* 三次 | b | b | True |
class Solution:
def isMatch(self, s: str, p: str) -> bool:
if not p: return not s
# ab <--> a* 带星号的一定要先处理,不然在 s='' p='*b'的时候会出错
if len(p) > 1 and p[1] == '*':
if self.isMatch(s, p[2:]): return True # 零次情况考虑到
if p and s and p[0] in {s[0], '.'} and self.isMatch(s[1:], p): return True
if p and s and p[0] in {s[0], '.'}: # ab <--> ab
return self.isMatch(s[1:], p[1:])
else:
return False
Go示例
func isMatch(s string, p string) bool {
if p == "" {
return s == ""
}
if len(p) > 1 && p[1] == '*' {
if isMatch(s, p[2:]) { // 情况1: b a*b -> b b
return true
}
if len(s) > 0 && (s[0] == p[0] || p[0] == '.') {
return isMatch(s[1:], p) // 情况2: aa a* -> a a* -> '' a* -> '' ''
}
}
if len(s) > 0 && (s[0] == p[0] || p[0] == '.') {
return isMatch(s[1:], p[1:])
}
return false
}
方法一:大神精简代码
# 作者:z1m
# 链接:https://leetcode-cn.com/problems/zheng-ze-biao-da-shi-pi-pei-lcof/solution/hui-su-dong-tai-gui-hua-by-ml-zimingmeng/
class Solution:
def isMatch(self, s: str, p: str) -> bool:
if not p: return not s
# 第一个字母是否匹配
first_match = bool(s and p[0] in {s[0],'.'})
# 如果 p 第二个字母是 *
if len(p) >= 2 and p[1] == "*":
return self.isMatch(s, p[2:]) or \
first_match and self.isMatch(s[1:], p)
else:
return first_match and self.isMatch(s[1:], p[1:])
方法二:倒查递归
def isMatch(self, s: str, p: str) -> bool:
if not p : return not s
if s and p[-1] in {s[-1], '.'}:
return self.isMatch(s[:-1], p[:-1])
if p[-1] == '*':
return self.isMatch(s, p[:-2]) or \
bool(s and p[-2] in {s[-1], '.'} and self.isMatch(s[:-1], p))
return False
Go示例
func isMatch(s string, p string) bool {
if p == "" {
return s == ""
}
if len(s) > 0 && (p[len(p) - 1] == s[len(s) - 1] || p[len(p) - 1] == '.') {
return isMatch(s[: len(s) - 1], p[: len(p) - 1])
}
if p[len(p) - 1] == '*' { // a a*
if isMatch(s, p[: len(p) - 2]) {
return true
}
// b .*
if len(s) > 0 && (p[len(p) - 2] == '.' || p[len(p) - 2] == s[len(s) - 1]) {
return isMatch(s[: len(s) - 1], p)
}
}
return false
}
方法三:动态规划
func isMatch(s string, p string) bool {
n, m := len(s), len(p)
// 边界条件,考虑 s 或 p 分别为空的情况
if m == 0 {
return n == 0
}
dp := make([][]bool, n + 1)
for i := 0; i <= n; i++ {
dp[i] = make([]bool, m + 1)
}
// base case : s == "", p == ""
dp[0][0] = true
for i := 0; i <= n; i++ { // i 是从0开始,因为可能存在s是""
for j :=1; j <= m; j++ { // j 是从1开始,因为 j=0 的情况已经考虑过了
l, r := i - 1, j - 1 // 因为 0 代表是空字符,所以 i 对应的字符是 i-1 的位置
if p[r] == '*' {
dp[i][j] = dp[i][j] || dp[i][j - 2] // situation1: aa a* -> aa ""
//这里没有写 r-1>=0 ,因为 r 是 *,题意保证了 r-1>=0
if l>=0 && (p[r - 1] == s[l] || p[r - 1] == '.') { // situation2: aa a* -> a a* -> '' a*
dp[i][j] = dp[i][j] || dp[i - 1][j]
}
// 这里没有写 r>=0,因为j的范围是从1开始,保证了 r>=0
} else if l>=0 && (s[l] == p[r] || p[r] == '.') { // situation3: ba bc -> a c
dp[i][j] = dp[i][j] || dp[i - 1][j - 1]
}
}
}
return dp[n][m]
}